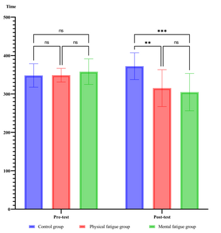
Resumen
Durante los últimos casi 50 años, la curva de lactato en sangre y los umbrales de lactato (LT) se han vuelto importantes en el diagnóstico de rendimiento de resistencia. Surgió un debate intenso y continuo, que se basó principalmente en la terminología y/o los antecedentes fisiológicos de los conceptos LT. La presente revisión tiene como objetivo evaluar LTS con respecto a su validez en la evaluación de la capacidad de resistencia. Además, los conceptos LT se integrarán dentro de la ‘transición aeróbica -anaeróbica’, un marco que a menudo se ha utilizado para el diagnóstico de rendimiento y las recetas de intensidad en los deportes de resistencia. Por lo general, las pruebas de ejercicio incrementales graduadas, que provocan un aumento exponencial en las concentraciones de lactato en sangre (BLA), se utilizan para llegar a las curvas de lactato. Un cambio de tales curvas de lactato indica cambios en la capacidad de resistencia. Sin embargo, este enfoque muy global se ve obstaculizado por varios factores que pueden influir en los niveles generales de lactato. Además, el uso exclusivo de toda la curva conduce a cierta incertidumbre en cuanto a la magnitud de las ganancias de resistencia, que no se puede estimar con precisión. Esta deficiencia podría ser eliminada por el uso de LTS. La transición aeróbica-eanerobia puede servir como base para evaluar individualmente el rendimiento de la resistencia, así como para prescribir intensidades en la capacitación de resistencia. Además, se pueden integrar varios enfoques LT en este marco. Este modelo consta de dos puntos de interrupción típicos que se pasan durante el ejercicio incremental: la intensidad en la que BLA comienza a elevarse por encima de los niveles de referencia y la intensidad más alta en la que la producción y la eliminación del lactato están en equilibrio (estado estacionario de lactato máximo (MLSS)). Dentro de esta revisión, los LT se consideran indicadores de rendimiento válidos cuando existen correlaciones lineales fuertes con el rendimiento de resistencia (simulado). Además, una relación cercana entre LT y MLSS indica validez con respecto a la prescripción de las intensidades de capacitación. Se ubicaron un total de 25 conceptos LT diferentes. Todos los conceptos se dividieron en tres categorías. Varios autores usan BLA fijo durante el ejercicio incremental para evaluar el rendimiento de la resistencia (categoría 1). Otros conceptos LT tienen como objetivo detectar el primer aumento en BLA por encima de los niveles de referencia (categoría 2). La tercera categoría consiste en conceptos de umbral que tienen como objetivo detectar el MLSS o un cambio rápido/distinto en la inclinación de la curva de lactato en sangre (categoría 3). Treinta y dos estudios evaluaron la relación de LTS con el rendimiento de los eventos de resistencia (parcialmente simulados). La abrumadora mayoría de esos estudios informaron fuertes correlaciones lineales, particularmente para la ejecución de eventos, lo que sugiere un alto porcentaje de varianza común entre LT y el rendimiento de resistencia. Además, hay evidencia de que algunos LT pueden estimar el MLSS. Sin embargo, desde un punto de vista práctico y estadístico, sería de interés conocer la variabilidad de las diferencias individuales entre el umbral respectivo y el MLSS, que rara vez se informa. Aunque ha habido un debate frecuente y controvertido sobre el fenómeno LT durante las últimas tres décadas, muchos estudios científicos han tratado con los conceptos de LT, su valor para evaluar el rendimiento de la resistencia o en la prescripción de intensidades de ejercicio en la capacitación de resistencia. El marco presentado puede ayudar a aclarar algunos aspectos de la controversia y puede dar una justificación para el diagnóstico de rendimiento y la prescripción de capacitación en futuras investigaciones, así como en la práctica deportiva.





